Are you looking to add some visual flair to your data analysis? Variable Width Column Chart R might be just what you need! This type of chart is a great way to display data with varying column widths, making it easy to see trends at a glance.
Variable Width Column Chart R is a popular choice for displaying data that has both quantitative and qualitative variables. It allows you to visualize not only the values of your data points but also the categories they belong to, making it a powerful tool for analysis.
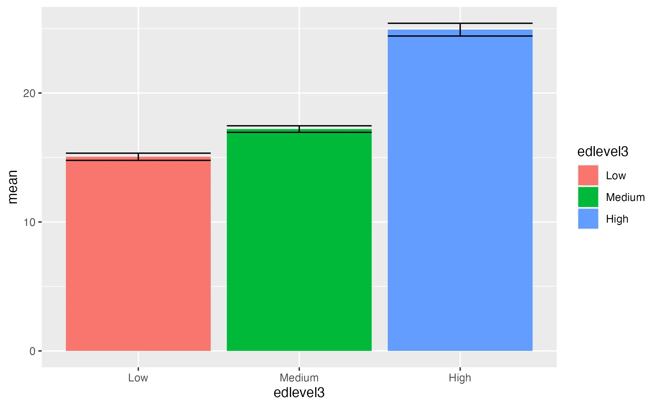
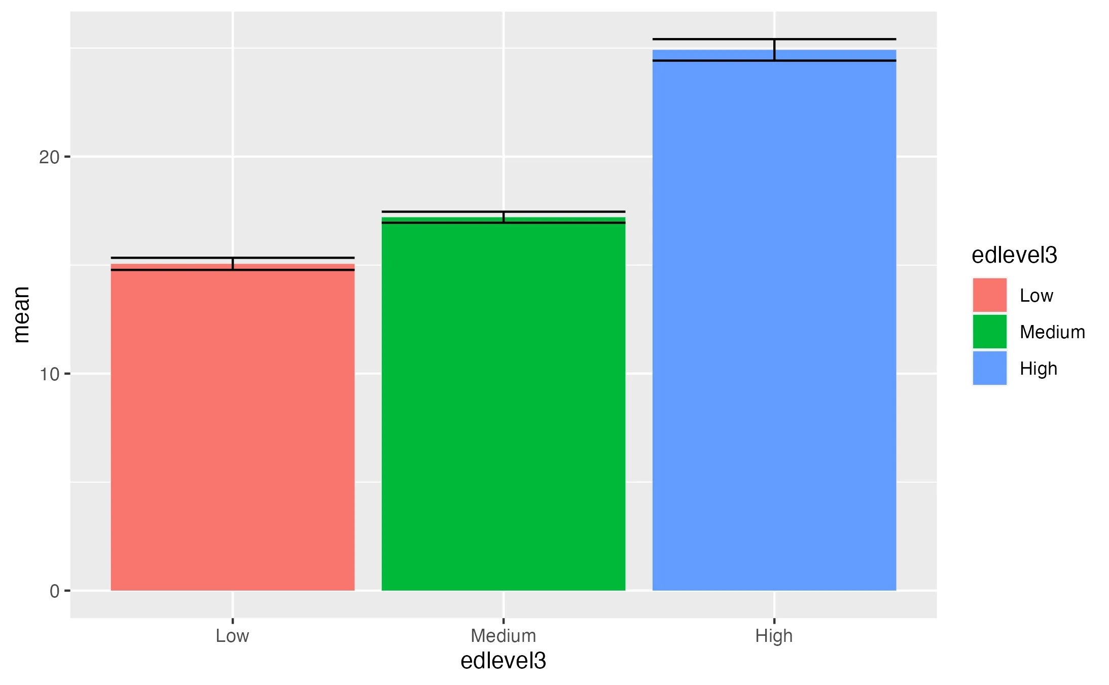
Variable Width Column Chart R
Exploring the Benefits of Variable Width Column Chart R
One of the key advantages of using Variable Width Column Chart R is its ability to show the distribution of data across multiple categories in a single chart. This can help you identify patterns and outliers more easily than with traditional bar or column charts.
Another benefit of Variable Width Column Chart R is its ability to handle large datasets without becoming cluttered or difficult to read. By adjusting the width of the columns based on the values they represent, you can create a clear and informative visual representation of your data.
Whether you’re a data analyst, researcher, or student, Variable Width Column Chart R can be a valuable tool for presenting your findings in a visually appealing and easy-to-understand way. So why not give it a try and see how it can enhance your data analysis process?
Graphics And Data Visualization In R GEN242
Styling Bar Charts In Ggplot2 Tilburg Science Hub
Chapter 2 Distributions R Gallery Book
Chapter 5 Bar Plots Data Visualization With R




