Have you ever wanted to showcase your unique selling points in a visually appealing way? Look no further than the USP column chart! This tool allows you to highlight the key features of your product or service in a simple and effective manner.
With the USP column chart, you can easily compare different aspects of your business, such as price, quality, and customer service. This visual representation makes it easy for customers to understand what sets you apart from the competition.
Usp Column Chart
Stand Out with the USP Column Chart
By using the USP column chart, you can quickly communicate the benefits of your offerings to potential customers. Whether you’re promoting a new product or highlighting your company’s strengths, this tool can help you make a strong impression.
With customizable features and easy-to-read design, the USP column chart is a versatile tool that can be used in a variety of marketing materials. From presentations to social media posts, this chart can help you stand out from the crowd.
Don’t miss out on the opportunity to showcase what makes your business unique. Try using the USP column chart today and see the difference it can make in your marketing efforts. With this tool, you can effectively communicate your strengths and attract new customers to your business.
USP 800 Standards Upgrading A USP 797 Cleanroom For Hazardous Drugs
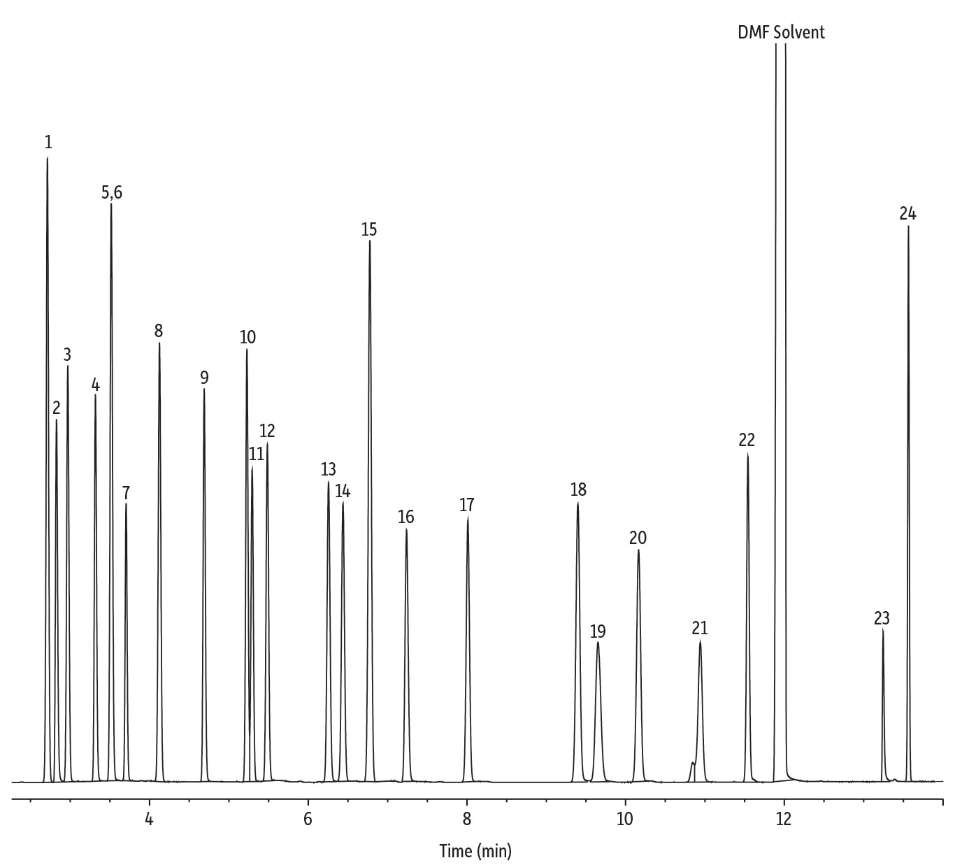
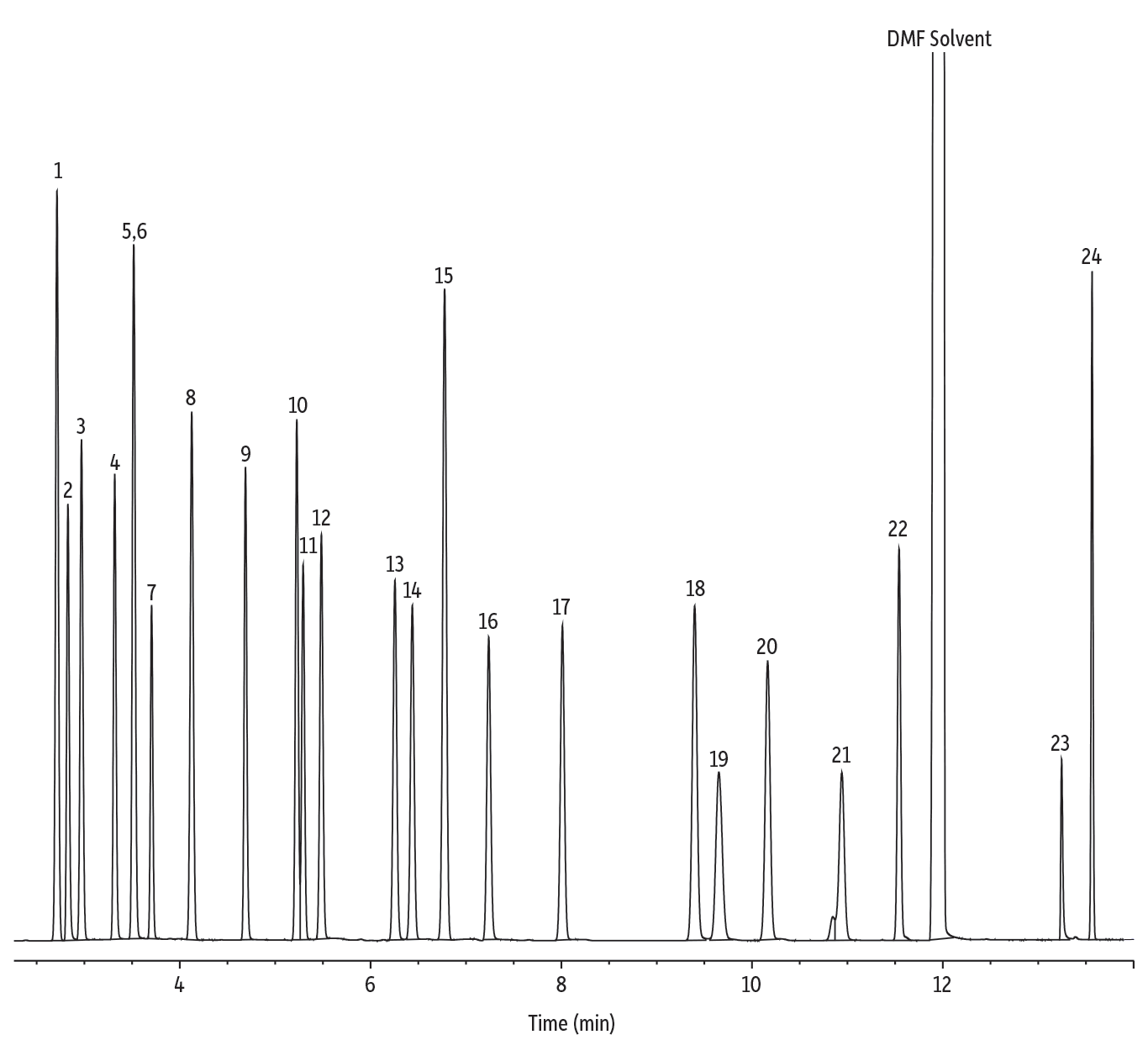
Restek USP U003c467u003e Residual Solvents Class 3 MIx A On Rxi 624Sil MS


