Are you looking to add some visual flair to your data analysis? Look no further than pandas column chart! This powerful tool allows you to represent your data in an easy-to-understand format.
With pandas column chart, you can quickly visualize trends and patterns in your data. Whether you’re analyzing sales figures, tracking website traffic, or monitoring social media engagement, this tool makes it simple to see the big picture at a glance.
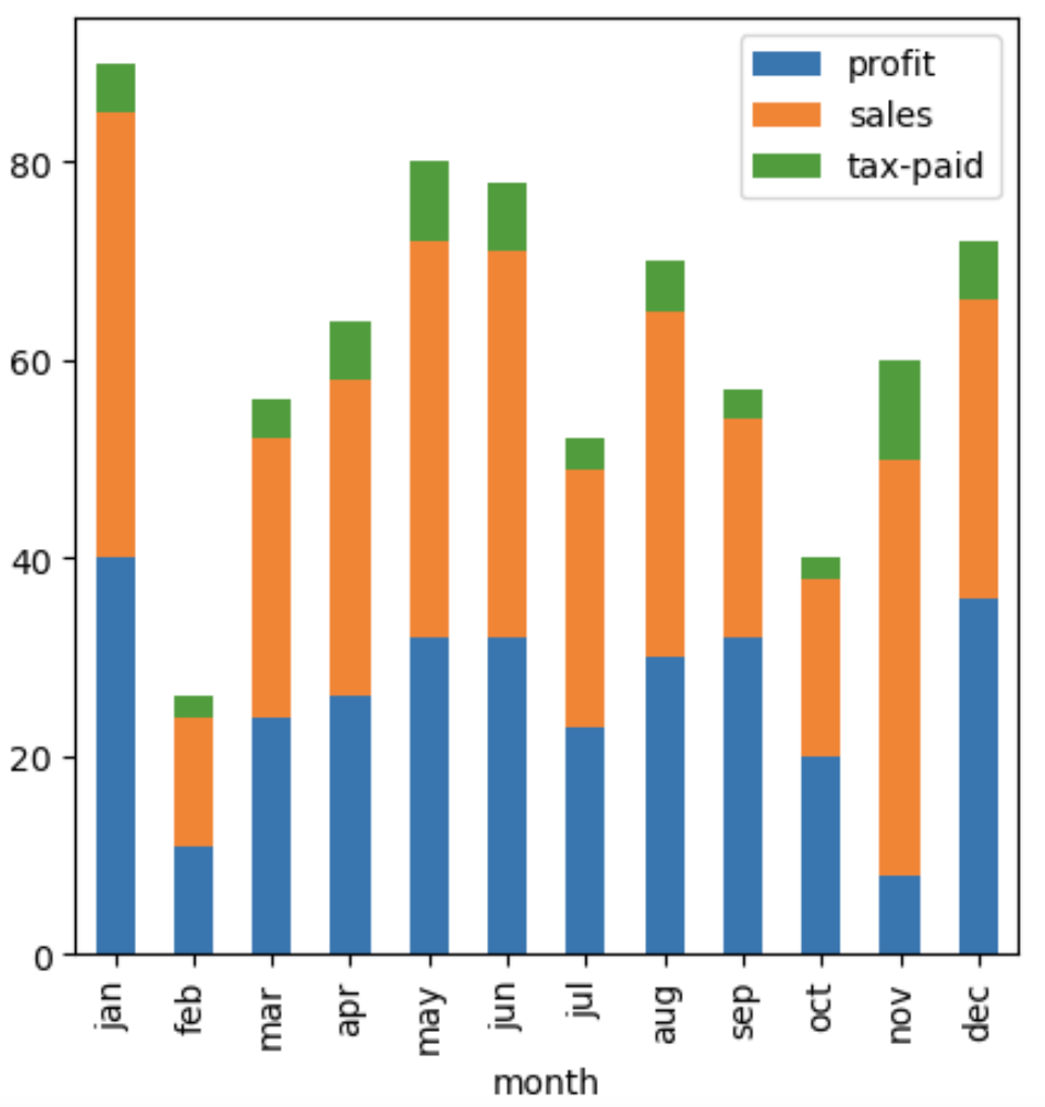
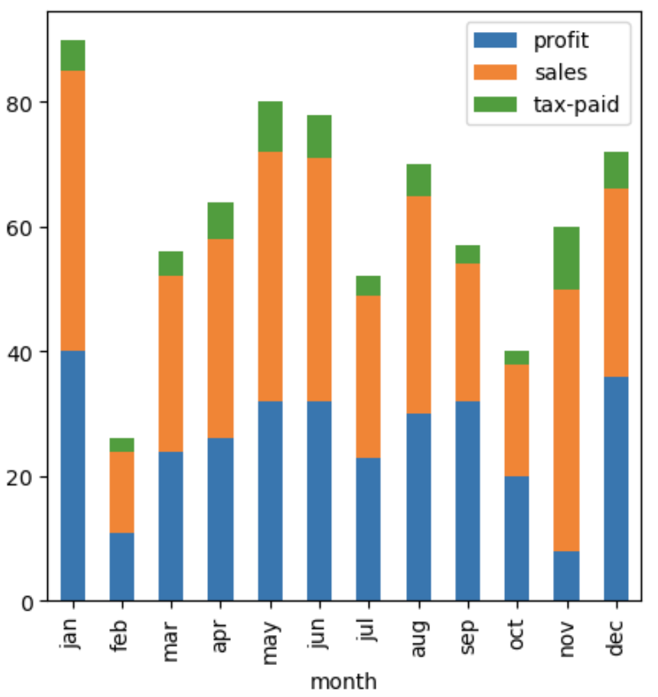
Pandas Column Chart
Unlocking Insights with Pandas Column Chart
One of the key benefits of pandas column chart is its versatility. You can customize your chart with different colors, labels, and formatting options to create a visually appealing representation of your data. Whether you’re a data scientist, business analyst, or student, this tool is a game-changer.
Another advantage of pandas column chart is its ease of use. Even if you’re not a coding expert, you can quickly generate professional-looking charts with just a few lines of Python code. Say goodbye to manual data entry and hello to automated insights!
By using pandas column chart, you can uncover hidden patterns, identify outliers, and make data-driven decisions with confidence. Whether you’re presenting your findings to a team or just exploring data for personal interest, this tool empowers you to extract meaningful insights from your data.
In conclusion, pandas column chart is a must-have tool for anyone working with data. Its simplicity, flexibility, and power make it a valuable asset for professionals in any field. Start using pandas column chart today and take your data analysis to the next level!
Python Pandas DataFrame Plot
Pandas U0026 Matplotlib Personalize The Date Format In A Bar Chart Simone Centellegher PhD Data Scientist And Researcher
More Pandas Related How To Limit Data To Only Display 5 Stacks Of Bars In Plotly Plotly Python Plotly Community Forum
Pandas Plot Multiple Columns Bar Chart Grouped And Stacked Chart Kanoki
Python Pandas Plot Bar Chart Over Line Stack Overflow





