Are you looking to create a visually appealing bar chart with multiple columns using ggplot in R? Look no further! With just a few simple steps, you can easily customize your bar chart to showcase multiple data points in a clear and concise way.
Ggplot is a powerful data visualization package in R that allows you to create stunning graphics with ease. By utilizing ggplot’s flexibility and customization options, you can create bar charts that effectively communicate your data insights to your audience.
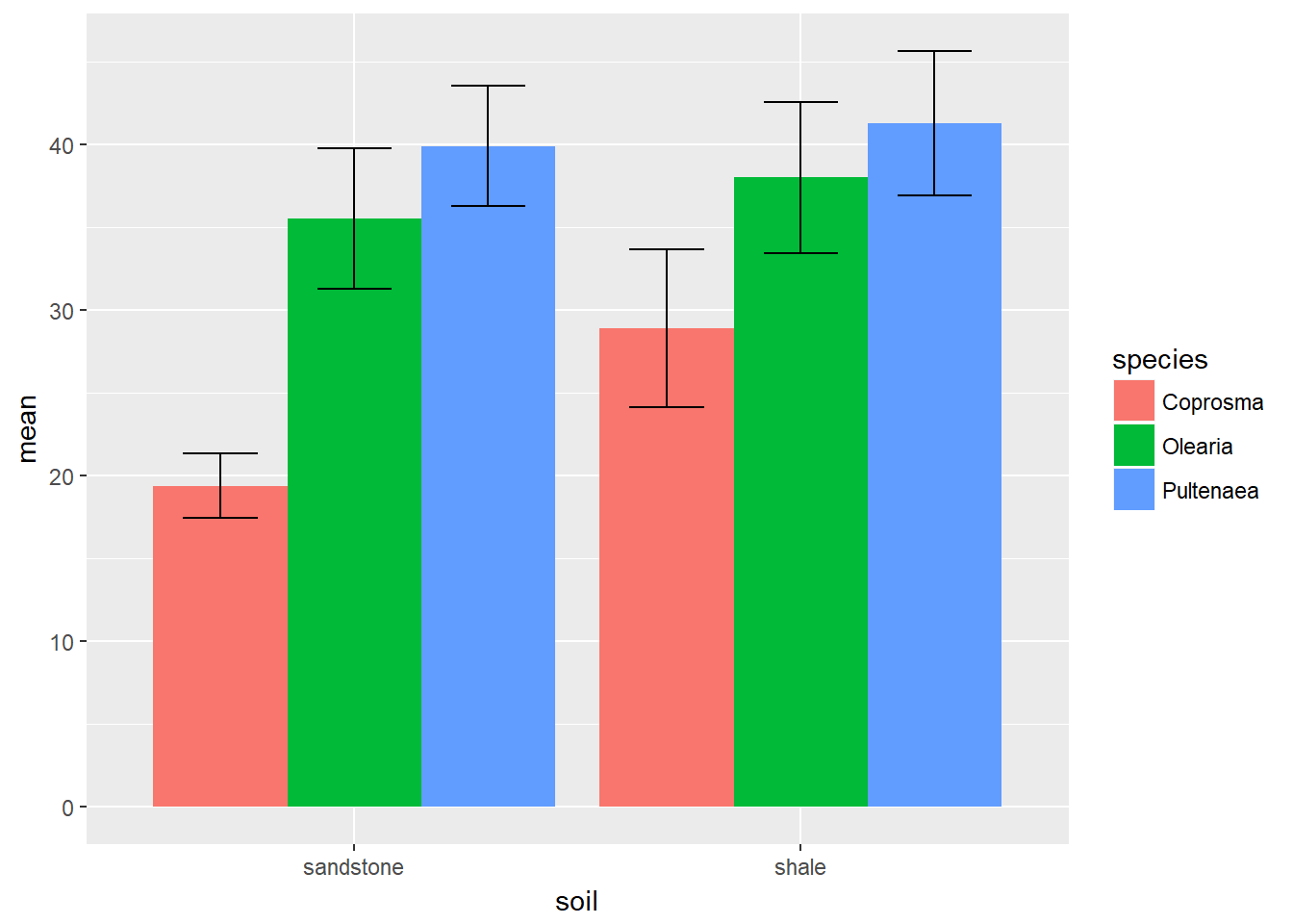
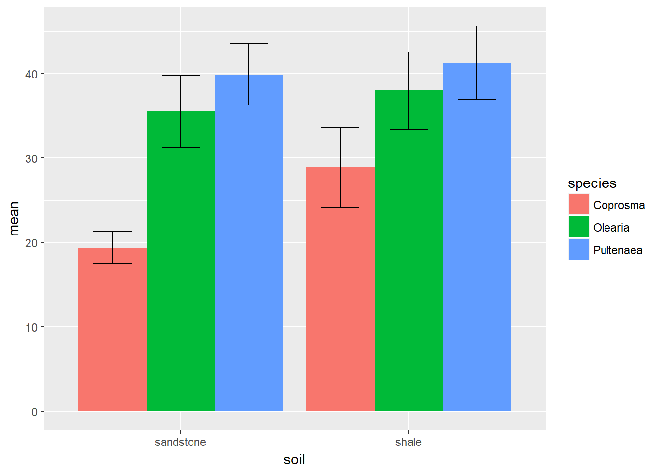
Ggplot Bar Chart Multiple Columns
Ggplot Bar Chart Multiple Columns
To create a bar chart with multiple columns in ggplot, start by loading your data into R and ensuring it is in the correct format for plotting. Next, use the ggplot function to specify your data, aesthetics, and geometry layers to customize the appearance of your bar chart.
Once you have defined the basic structure of your bar chart, you can further enhance it by adjusting the color, size, and labels of the bars. By experimenting with different themes and styles, you can create a visually appealing and informative bar chart that effectively showcases your data.
Don’t forget to add a title, axis labels, and a legend to provide context and clarity to your bar chart. These additional elements will help your audience understand the data being presented and make it easier for them to interpret the information you are sharing.
In conclusion, creating a bar chart with multiple columns in ggplot is a straightforward process that can yield impressive results. By following these simple steps and customizing your chart to fit your needs, you can effectively visualize your data and communicate your findings in a clear and compelling way.
Ggplot2 Ggplot Multiple Columns Per Group Stack Overflow
Bar Graphs Part 2 Staring At R
Barplot For Two Factors In R Step by Step Tutorial
4 Two Variables Data Visualization In R With Ggplot2
R How To Create A Bar Chart With Multiple X Variables Per Bar





